Jabatan Psikiatri, HCTM
Jabatan Psikiatri Jabatan Psikiatri

HCTM

  • HCTM
  • FAKULTI
  • UKM

Toggle menu

Skip to content
  • Utama
  • MENGENAI KAMI
    • PENGENALAN
    • VISI & MISI
    • OBJEKTIF
    • CARTA ORGANISASI
  • PERKHIDMATAN
  • Maklumat SOP
    • KLINIK
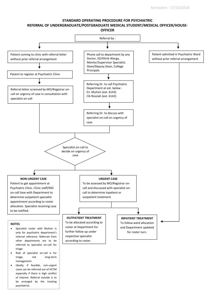
    • PSYCHIATRIC REFERRAL OF UNDERGRADUATE/POSTGRADUATE MEDICAL STUDENT/MEDICAL OFFICER/HOUSE OFFICER
  • KALENDAR AKTIVITI
  • HUBUNGI KAMI
    • Maklumat Berhubung
    • DIREKTORI KAKITANGAN

STANDARD OPERATING PROCEDURE

Copyright © 2026 Jabatan Psikiatri. All rights reserved.

Search

+