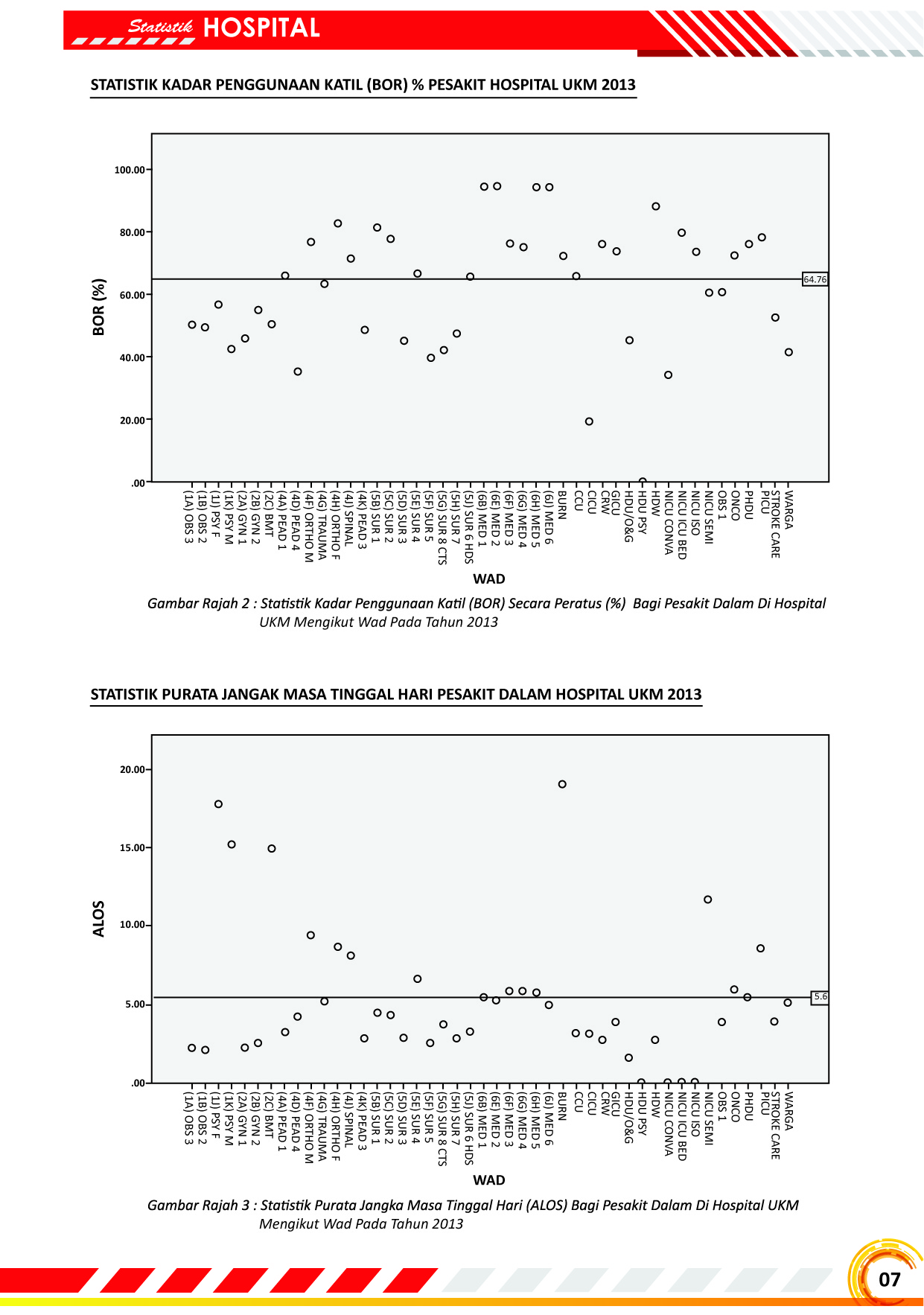
infohealth-2013_008 Published on May 6, 2021 in INFOHEALTH 2013Full resolution (1241 × 1766) ← Previous Next →